石油炼厂气回收制取的工业硫磺是化工、医药、橡胶、造纸、食品等工业的重要原料,由于砷含量制约着硫磺的质量等级和用途,所以成为工业硫磺中常规检测的重要项目。优等品工业硫磺要求砷含量要小于等于0.0001%。传统方法通常采用微波消解原子荧光光谱法测工业硫磺中的砷,低含量的砷容易未检出,无法满足生产上对优等品硫磺的质量控制需求。因此,必须建立灵敏可靠的方法测定工业硫磺中低含量的砷。本应用中心采用微波消解硫磺,ICPMS法测定消解液中的砷含量。方法分析时间短、试剂用量少、操作简单,灵敏度和准确度好,平行测定结果的相对偏差≤4.9%,远小于标准规定的≤30%,可作为工业硫磺中砷含量的分析方法。

图1 电感耦合等离子质谱仪及超级微波消解仪

(1)0.2 g样品前处理方法
硫磺样品0.200 g于15 mL的石英消解管➡加3ml硝酸手动摇匀➡装入消解管架➡载液:150 mL超纯水+5 mL硝酸,转移至超级微波平台➡按照表1的程序进行消解➡超纯水定容至50 mL
(2)1 g样品前处理方法
硫磺样品1.000 g于30 mL的石英消解管➡加3 mL超纯水和8 mL硝酸,手动摇匀➡装入消解管架➡载液:150 mL超纯水+5 mL硝酸,转移至超级微波平台➡按照表1的程序进行消解➡超纯水定容至50 mL
表2 消解程序

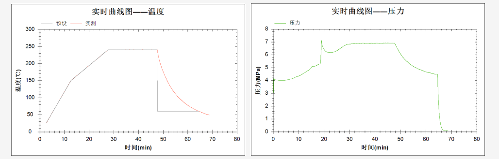
0.2 g样品消解曲线

1 g样品消解曲线

图1 超级微波升温曲线

图2 硫磺样品消解前后图片
表3 精密度测试结果

由表3可见,平行测定结果的相对偏差≤4.9%。
表4 加标回收率测试结果

本方法用超级微波消解,电感耦合等离子体质谱法测定工业硫磺中的砷含量,该方法操作简便,操作时间短,消解0.2 g和1 g样品,测定的回收率在93.8-98.9%之间,方法的相对标准偏差小于4.9%,可作为工业硫磺中砷含量的分析方法。